AKOJ正在加载中...
AKOJ
全部题目
专项练习
提交记录
竞赛合集
成员公开竞赛
教师私有竞赛
AKOJ官方竞赛
成员自建竞赛
(HOT)
名校联赛
实用工具
画布
AKAI
AKAI(
推荐
)
授权码查询
AKOJ备案
资源中心(共 3 个)
博客论坛
加入我们
加入官群
登录
注册
您的浏览器不支持 audio 元素。
6879: sqrt log sin 函数_1
金币值:
2
定数:
1
时间限制:1.000 s
内存限制:32 M
正确:3
提交:3
正确率:100.00%
命题人:
点赞量:0
收藏量:0
题目类型:程序
知识点:
入门题-数学
提交
提交记录
统计
下一题
题目描述
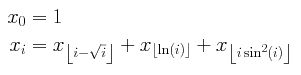
小明的老师给小明布置了这样一道作业题,一个序列符合以下定义:
现问你这个序列的第n项是多少?
输入格式
输入包含多组测试数据。每组输入一个整数n(0<=n<=1000000),当输入-1时,输入结束。
输出格式
对于每组输入,输出第n项的值,结果请mod 1000000。
输入样例
复制
0 -1
输出样例
复制
1